目标检测
识别图片中有哪些物体以及物体的位置
输入原图

结果图

一般流程

- 特征提取
- 生成预测
- 预测结果与标签->计算损失
- 最小化损失-指导网络学习
- 重复以上…
一些网络结构
简单图示
- vgg网络结构
  
- ResNet网络结构
  
- DenseNet 网络结构
  
常见处理方式
- Input 输入层
- Conv 卷积
- Activation 激活层
- Pool 池化层
- Dropout
- BN
- FC 全连接层
框架
- keras https://keras.io/
- Tensorflow https://tensorflow.google.cn/
- Pytorchhttps://pytorch.org/
Input
训练数据

Conv

用参数来提取数据特征。
Activation

- Sigmoid
  
- ReLU
  
  
 给网络加入非线性因素,单纯线性模型的表达力不够。
Pool

降低参数量。
Dropout

缓解过拟合。
BN

批量,归一化。
FC

分类器。
经过一系列操作后



损失函数
- Classificition Loss
 一个函数,用来计算预测类别与真实类别的误差。
- Bounding Box Regeression Loss
 一个函数,用来计算真实框与预测框的误差。
Classificition Loss Function
番外 Softmax

Cross Entropy Loss
Logistic Loss
Bounding Box Regression Loss Function
SmoothL1 Loss (平滑的)
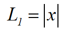
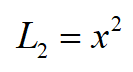
x为预测框和真实框之间的数值差异,常用的L1和L2 Loss定义为:
- L1
  
- L2
  
- Smooth L1
  
- Loss :
  
https://arxiv.org/abs/1504.08083
IoU Loss
- IoU
  
- IoU Loss
  
- 计算过程
  
- 一般情况
  
 https://arxiv.org/abs/1608.01471
GIoU Loss



https://arxiv.org/abs/1902.09630
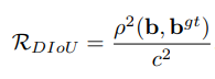
DIoU Loss & CIoU Loss
- 
效果 
  
- 
一般基于IoU的损失函数 
  
- 
DIoU 
  
  
  
总结
- 
IoU Loss:考虑检测框和目标框重叠面积。 
- 
GIoU Loss:在IoU的基础上,解决边界框不重合时的问题。 
- 
DIoU Loss:在IoU的基础上,考虑边界框中心距离的信息。 
- 
CIoU Loss:在DIoU的基础上,考虑边界框宽高比的尺度信息。 























